给定两个整数数组 inorder 和 postorder ,其中 inorder 是二叉树的中序遍历, postorder 是同一棵树的后序遍历,请你构造并返回这颗 二叉树 。
难度:🌟🌟🌟
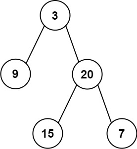
示例 1:

输入:inorder = [9,3,15,20,7], postorder = [9,15,7,20,3]
输出:[3,9,20,null,null,15,7]
示例 2:
输入:inorder = [-1], postorder = [-1]
输出:[-1]
提示:
构造二叉树,第一件事一定是找根节点,然后想办法构造左右子树。

后序遍历结果最后一个就是根节点的值,然后再根据中序遍历结果确定左右子树的节点。
/**
* Definition for a binary tree node.
* type TreeNode struct {
* Val int
* Left *TreeNode
* Right *TreeNode
* }
*/
func buildTree(inorder []int, postorder []int) *TreeNode {
if len(inorder) == 0 || len(postorder) == 0 {
return nil
}
rootVal := postorder[len(postorder)-1]
var i int
for i = 0; i < len(inorder); i++ {
if inorder[i] == rootVal {
break
}
}
root := &TreeNode{Val: rootVal}
root.Left = buildTree(inorder[:i], postorder[:i])
root.Right = buildTree(inorder[i+1:], postorder[i:len(postorder)-1])
return root
}