给你一棵二叉树的根节点 root ,翻转这棵二叉树,并返回其根节点。
难度:🌟
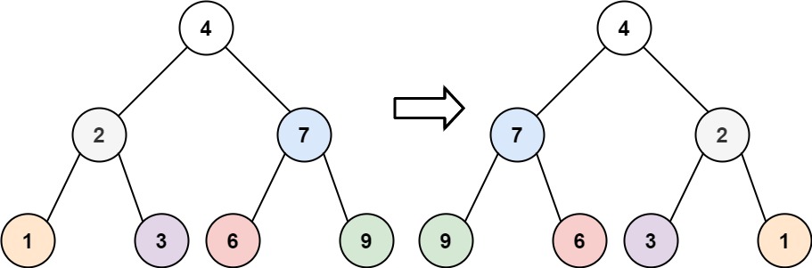
示例 1:

输入:root = [4,2,7,1,3,6,9]
输出:[4,7,2,9,6,3,1]
示例 2:

输入:root = [2,1,3]
输出:[2,3,1]
示例 3:
输入:root = []
输出:[]
提示:
使用遍历的思维来做这题,在前序遍历位置交换根节点的左右子节点,然后遍历左右子树节点重复交换其左右子树节点的操作即可。
/**
* Definition for a binary tree node.
* type TreeNode struct {
* Val int
* Left *TreeNode
* Right *TreeNode
* }
*/
func invertTree(root *TreeNode) *TreeNode {
if root == nil {
return nil
}
tmp := root.Left
root.Left = root.Right
root.Right = tmp
invertTree(root.Left)
invertTree(root.Right)
return root
}