给定一个二叉树,找出其最小深度。
最小深度是从根节点到最近叶子节点的最短路径上的节点数量。
说明:叶子节点是指没有子节点的节点。
难度:🌟🌟
示例 1:

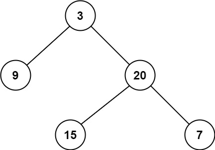
输入:root = [3,9,20,null,null,15,7]
输出:2
示例 2:
输入:root = [2,null,3,null,4,null,5,null,6]
输出:5
提示:
和求最大深度相反
求最小深度时将Math.max换成Math.min即可,但要注意如果根节点的左或右子树为空的话是构不成子树的。而最小深度是要求从根节点到叶子节点的。当左或右子树为空时,不符合要求。
/**
* Definition for a binary tree node.
* type TreeNode struct {
* Val int
* Left *TreeNode
* Right *TreeNode
* }
*/
func minDepth(root *TreeNode) int {
if root == nil {
return 0
}
// 特殊情况1: 当节点左子树为空,右子树不为空,这时最小深度肯定不是0,而是对应的右子树的最小深度加1
if root.Left == nil && root.Right != nil {
return 1 + minDepth(root.Right)
}
// 特殊情况2:当节点右子树为空,左子树不为空,这时最小深度肯定不是0,而是对应的左子树的最小深度加1
if root.Left != nil && root.Right == nil {
return 1 + minDepth(root.Left)
}
return min(minDepth(root.Left), minDepth(root.Right)) + 1
}
func min(x, y int) int {
if x < y {
return x
}
return y
}