给你二叉树的根节点 root ,返回其节点值的 锯齿形层序遍历 。(即先从左往右,再从右往左进行下一层遍历,以此类推,层与层之间交替进行)。
难度:🌟🌟🌟
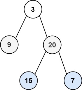
示例 1:

输入:root = [3,9,20,null,null,15,7]
输出:[[3],[20,9],[15,7]]
示例 2:
输入:root = [1]
输出:[[1]]
示例 3:
输入:root = []
输出:[]
提示:
和层序遍历一样,只不过加了是否逆序的标识位。
func zigzagLevelOrder(root *TreeNode) [][]int {
if root == nil {
return nil
}
var res [][]int
queue := newQueue()
queue.offer(root)
leftToRight := true
for !queue.isEmpty() {
sz := queue.len()
var ans []int
for sz > 0 {
// 弹出队头元素
top := queue.pop()
ans = append(ans, top.Val)
if top.Left != nil {
queue.offer(top.Left)
}
if top.Right != nil {
queue.offer(top.Right)
}
sz--
}
var arr []int
if leftToRight { // 从左向右
for i := 0; i < len(ans); i++ {
arr = append(arr, ans[i])
}
} else {
for i := len(ans) - 1; i >= 0; i-- {
arr = append(arr, ans[i])
}
}
leftToRight = !leftToRight
res = append(res, arr)
}
return res
}
type myQueue struct {
data []*TreeNode
}
func newQueue() *myQueue {
return &myQueue{}
}
func (q *myQueue) offer(elem *TreeNode) {
q.data = append(q.data, elem)
}
func (q *myQueue) pop() *TreeNode {
res := q.data[0]
q.data = q.data[1:]
return res
}
func (q *myQueue) len() int {
return len(q.data)
}
func (q *myQueue) isEmpty() bool {
return q.len() == 0
}