给你两个单链表的头节点 headA 和 headB ,请你找出并返回两个单链表相交的起始节点。如果两个链表不存在相交节点,返回 null 。
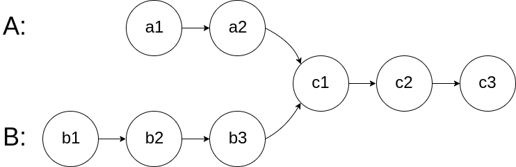
图示两个链表在节点 c1 开始相交:

题目数据 保证 整个链式结构中不存在环。
注意,函数返回结果后,链表必须 保持其原始结构 。
难度:🌟🌟
自定义评测:
评测系统 的输入如下(你设计的程序 不适用 此输入):
评测系统将根据这些输入创建链式数据结构,并将两个头节点 headA 和 headB 传递给你的程序。如果程序能够正确返回相交节点,那么你的解决方案将被 视作正确答案 。
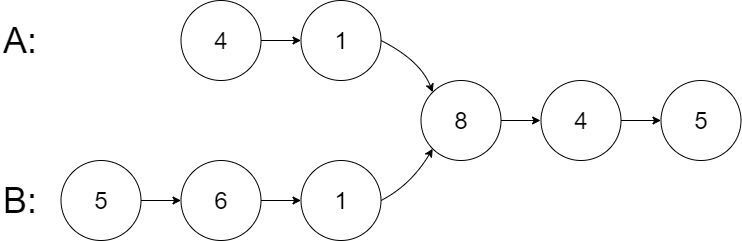
示例 1:

输入:intersectVal = 8, listA = [4,1,8,4,5], listB = [5,6,1,8,4,5], skipA = 2, skipB = 3
输出:Intersected at '8'
解释:相交节点的值为 8 (注意,如果两个链表相交则不能为 0)。
从各自的表头开始算起,链表 A 为 [4,1,8,4,5],链表 B 为 [5,6,1,8,4,5]。
在 A 中,相交节点前有 2 个节点;在 B 中,相交节点前有 3 个节点。
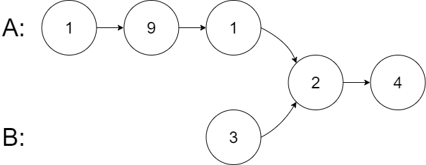
示例 2:

输入:intersectVal = 2, listA = [1,9,1,2,4], listB = [3,2,4], skipA = 3, skipB = 1
输出:Intersected at '2'
解释:相交节点的值为 2 (注意,如果两个链表相交则不能为 0)。
从各自的表头开始算起,链表 A 为 [1,9,1,2,4],链表 B 为 [3,2,4]。
在 A 中,相交节点前有 3 个节点;在 B 中,相交节点前有 1 个节点。
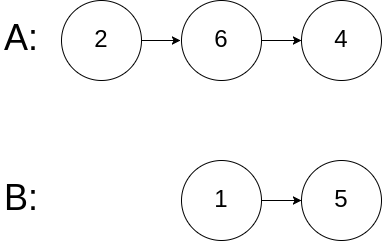
示例 3:

输入:intersectVal = 0, listA = [2,6,4], listB = [1,5], skipA = 3, skipB = 2
输出:null
解释:从各自的表头开始算起,链表 A 为 [2,6,4],链表 B 为 [1,5]。
由于这两个链表不相交,所以 intersectVal 必须为 0,而 skipA 和 skipB 可以是任意值。
这两个链表不相交,因此返回 null 。
提示:
这道题难点在于,由于两条链表的长度可能不同,两条链表之间的节点无法对应:
如果用两个指针 p1 和 p2 分别在两条链表上前进,并不能同时走到公共节点,也就无法得到相交的节点 c1。
解决这个问题的关键在于,通过某些方式,让 p1 和 p2 能够同时到达相交节点 c1。
思路一:
如果用两个指针 p1 和 p2 分别在两条链表上前进,我们可以让 p1 遍历完链表 A 之后开始遍历链表 B,让 p2 遍历完链表 B 之后开始遍历链表 A,这样相当于 逻辑上 两条链表接在了一起。
这样进行拼接,就可以让 p1 和 p2 同时进入公共部分,也就是同时达到相交节点。
思路二:
先计算两条链表的长度,然后让 p1 和 p2 距离链表尾部的距离相同,然后齐头并进。
// 思路一
func getIntersectionNode(headA, headB *ListNode) *ListNode {
if headA == nil || headB == nil {
return nil
}
p1, p2 := headA, headB
for p1 != p2 {
if p1 != nil {
p1 = p1.Next
} else {
p1 = headB
}
if p2 != nil {
p2 = p2.Next
} else {
p2 = headA
}
}
return p1
}
// 思路二
func getIntersectionNode1(headA, headB *ListNode) *ListNode {
lenA, lenB := 0, 0
l1, l2 := headA, headB
for l1 != nil {
lenA++
l1 = l1.Next
}
for l2 != nil {
lenB++
l2 = l2.Next
}
l1, l2 = headA, headB
if lenA > lenB {
delta := lenA - lenB
for delta > 0 {
l1 = l1.Next
delta--
}
} else {
delta := lenB - lenA
for delta > 0 {
l2 = l2.Next
delta--
}
}
for l1 != l2 {
l1 = l1.Next
l2 = l2.Next
}
if l1 == nil || l2 == nil {
return nil
}
return l1
}