给你二叉树的根节点 root ,返回其节点值 自底向上的层序遍历 。 (即按从叶子节点所在层到根节点所在的层,逐层从左向右遍历)
难度:🌟🌟🌟
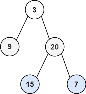
示例 1:

输入:root = [3,9,20,null,null,15,7]
输出:[[15,7],[9,20],[3]]
示例 2:
输入:root = [1]
输出:[[1]]
示例 3:
输入:root = []
输出:[]
提示:
这题和 102. 二叉树的层序遍历思路是一样的,自顶向下的层序遍历反过来就行。
/**
* Definition for a binary tree node.
* type TreeNode struct {
* Val int
* Left *TreeNode
* Right *TreeNode
* }
*/
func levelOrderBottom(root *TreeNode) [][]int {
if root == nil {
return nil
}
var res [][]int
queue := newQueue()
queue.offer(root)
for !queue.isEmpty() {
sz := queue.len()
var ans []int
for sz > 0 {
node := queue.pop()
ans = append(ans, node.Val)
if node.Left != nil {
queue.offer(node.Left)
}
if node.Right != nil {
queue.offer(node.Right)
}
sz--
}
res = append(res, ans)
}
// 交换 res 数组顺序
n := len(res)
for i := 0; i < n/2; i++ {
tmp := res[n-i-1]
res[n-i-1] = res[i]
res[i] = tmp
}
return res
}
type myQueue struct {
data []*TreeNode
}
func newQueue() *myQueue {
return &myQueue{}
}
func (q *myQueue) offer(elem *TreeNode) {
q.data = append(q.data, elem)
}
func (q *myQueue) pop() *TreeNode {
res := q.data[0]
q.data = q.data[1:]
return res
}
func (q *myQueue) len() int {
return len(q.data)
}
func (q *myQueue) isEmpty() bool {
return q.len() == 0
}