给定一个已排序的链表的头 head , 删除所有重复的元素,使每个元素只出现一次 。返回 已排序的链表。
难度:🌟
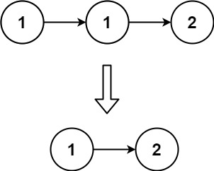
示例 1:

输入:head = [1,1,2]
输出:[1,2]
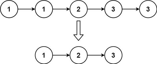
示例 2:
输入:head = [1,1,2,3,3]
输出:[1,2,3]

提示:
链表中节点数目在范围 [0, 300] 内
-100 <= Node.val <= 100
题目数据保证链表已经按升序 排列
思路一:
遍历链表,如果链表元素和前一个相同,则删除当前节点,直到遍历结束
思路二:
使用快慢指针,当快指针和慢指针指向元素不同时,删除快慢指针中间的元素。
/**
* Definition for singly-linked list.
* type ListNode struct {
* Val int
* Next *ListNode
* }
*/
func deleteDuplicates(head *ListNode) *ListNode {
if head == nil || head.Next == nil {
return head
}
dummy := &ListNode{Val: -1}
dummy.Next = head
curr := head
for head.Next != nil { // 遍历链表
next := head.Next
if curr.Val == next.Val {
second := next.Next
curr.Next = second // 删除 next 节点
} else {
curr = next
}
head = curr
}
return dummy.Next
}