给你单链表的头指针 head 和两个整数 left 和 right ,其中 left <= right 。请你反转从位置 left 到位置 right 的链表节点,返回 反转后的链表 。
难度:🌟🌟🌟
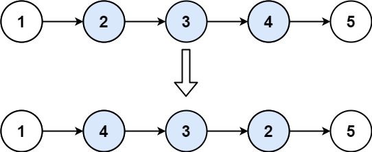
示例 1:

输入:head = [1,2,3,4,5], left = 2, right = 4
输出:[1,4,3,2,5]
示例 2:
输入:head = [5], left = 1, right = 1
输出:[5]
提示:
翻转从 left 位置到 right 位置的链表,可以先遍历到 left-1 位置,然后开始翻转长度为 right-left+1 的链表。
翻转链表核心代码如下:
prev := dummy
curr := head
for i := 0; i < k; i++ {
next := curr.Next
second := next.Next
next.Next = prev.Next
curr.Next = second
prev.Next = next // prev 重新指向 子链表 头节点
}
func reverseBetween(head *ListNode, left int, right int) *ListNode {
dummy := &ListNode{Val: -1}
dummy.Next = head
p := dummy
n := left - 1
for n > 0 {
p = p.Next
n--
}
headNode, _ := reverseKList(p.Next, right-left)
p.Next = headNode.Next
return dummy.Next
}
func reverseKList(head *ListNode, k int) (*ListNode, *ListNode) {
dummy := &ListNode{Val: -1}
dummy.Next = head
prev := dummy
curr := head
for i := 0; i < k; i++ {
next := curr.Next
second := next.Next
next.Next = prev.Next
curr.Next = second
prev.Next = next // prev 重新指向 子链表 头节点
}
return prev, curr
}