给你一棵二叉树的根节点 root ,树中有 n 个节点,每个节点都有一个不同于其他节点且处于 1 到 n 之间的值。
另给你一个由 n 个值组成的行程序列 voyage ,表示 预期 的二叉树 先序遍历 结果。
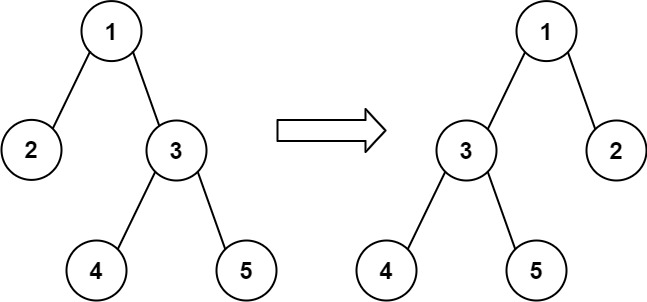
通过交换节点的左右子树,可以 翻转 该二叉树中的任意节点。例,翻转节点 1 的效果如下:

请翻转 最少 的树中节点,使二叉树的 先序遍历 与预期的遍历行程 voyage 相匹配 。
如果可以,则返回 翻转的 所有节点的值的列表。你可以按任何顺序返回答案。如果不能,则返回列表 [-1]。
难度:🌟🌟🌟🌟
示例 1:

输入:root = [1,2], voyage = [2,1]
输出:[-1]
解释:翻转节点无法令先序遍历匹配预期行程。
示例 2:

输入:root = [1,2,3], voyage = [1,3,2]
输出:[1]
解释:交换节点 2 和 3 来翻转节点 1 ,先序遍历可以匹配预期行程。
示例 3:

输入:root = [1,2,3], voyage = [1,2,3]
输出:[]
解释:先序遍历已经匹配预期行程,所以不需要翻转节点。
提示:
思路一:
从题意很容易联想到可以使用前序遍历迭代方式,在迭代过程中比较对应位置的节点值和 voyage 中数值的大小。如果相同,则进行下一个节点比较;否则,交换左右节点。
有两个特殊情况需要处理:
/**
* Definition for a binary tree node.
* type TreeNode struct {
* Val int
* Left *TreeNode
* Right *TreeNode
* }
*/
func flipMatchVoyage(root *TreeNode, voyage []int) []int {
if root == nil {
return nil
}
var ans []int
var pos int // 记录遍历的节点对应 voyage 的位置
var stack []*TreeNode
diffMap := make(map[int]bool)
for root != nil || len(stack) > 0 {
if len(stack) == 0 && root.Val != voyage[pos] {
return []int{-1}
}
if root != nil {
if root.Val == voyage[pos] {
// 当前节点和先序遍历节点相同,则跳到下一节点
stack = append(stack, root)
root = root.Left
pos++
} else {
// 记录不相同的元素
if diffMap[root.Val] { // 此时不管如何交换左右节点都不可能相等
return []int{-1}
} else {
diffMap[root.Val] = true
}
// 按 root 进行翻转
root = stack[len(stack)-1]
stack = stack[:len(stack)-1]
pos--
// 记录翻转节点
ans = append(ans, root.Val)
tmp := root.Left
root.Left = root.Right
root.Right = tmp
}
} else {
// 弹出栈顶元素
root = stack[len(stack)-1]
stack = stack[:len(stack)-1]
root = root.Right
}
}
return ans
}