给你二叉树的根结点 root ,请你将它展开为一个单链表:
难度:🌟🌟🌟
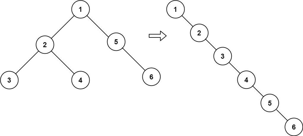
示例 1:

输入:root = [1,2,5,3,4,null,6]
输出:[1,null,2,null,3,null,4,null,5,null,6]
示例 2:
输入:root = []
输出:[]
示例 3:
输入:root = [0]
输出:[0]
提示:
思路一:最简单的思路是先先序遍历,然后根据先序遍历结果构造链表。
思路二:递归

/**
* Definition for a binary tree node.
* type TreeNode struct {
* Val int
* Left *TreeNode
* Right *TreeNode
* }
*/
func flatten(root *TreeNode) {
if root == nil {
return
}
p := root
res := preorder(root)
for i := 1; i < len(res); i++ {
next := &TreeNode{
Val: res[i],
Left: nil,
}
p.Right = next
p.Left = nil
p = p.Right
}
return
}
func preorder(root *TreeNode) (res []int) {
if root == nil {
return nil
}
var preorderHelper func(node *TreeNode)
preorderHelper = func(node *TreeNode) {
if node == nil {
return
}
res = append(res, node.Val)
preorderHelper(node.Left)
preorderHelper(node.Right)
}
preorderHelper(root)
return
}
// 递归方式展开链表
func flatten(root *TreeNode) {
if root == nil {
return
}
flatten(root.Left)
flatten(root.Right)
left := root.Left
right := root.Right
// 将 root 的左子树和右子树拉平
root.Left = nil
root.Right = left
// 将 root 的右子树接到左子树下方,然后将整个左子树作为右子树
p := root
for p.Right != nil {
p = p.Right
}
p.Right = right
return
}