给定两个整数数组 preorder 和 inorder ,其中 preorder 是二叉树的先序遍历, inorder 是同一棵树的中序遍历,请构造二叉树并返回其根节点。
难度:🌟🌟🌟
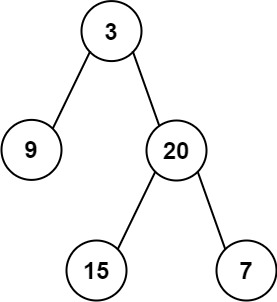
示例 1:

输入: preorder = [3,9,20,15,7], inorder = [9,3,15,20,7]
输出: [3,9,20,null,null,15,7]
示例 2:
输入: preorder = [-1], inorder = [-1]
输出: [-1]
提示:
对于任意一颗树而言,前序遍历的形式总是
[ 根节点, [左子树的前序遍历结果], [右子树的前序遍历结果] ]
即根节点总是前序遍历中的第一个节点。而中序遍历的形式总是
[ [左子树的中序遍历结果], 根节点, [右子树的中序遍历结果] ]
在前序序列的第一个元素就是根节点root,我们查找中序序列中根节点root的位置index。中序序列根节点左边,即 [0, index) 为左子树节点,中序序列根节点右边,即 [index+1, end] 为右子树节点。
根据 index 位置坐标,我们也可以知道前序序列中哪些是左子树,哪些是右子树。
这样一来,我们就知道了左子树的前序遍历和中序遍历结果,以及右子树的前序遍历和中序遍历结果,我们就可以递归地对构造出左子树和右子树,再将这两颗子树接到根节点的左右位置。
func buildTree(preorder []int, inorder []int) *TreeNode {
if len(preorder) == 0 || len(inorder) == 0 {
return nil
}
var i int
for i = 0; i < len(inorder); i++ {
if inorder[i] == preorder[0] {
break
}
}
root := &TreeNode{Val: preorder[0]}
root.Left = buildTree(preorder[1:i+1], inorder[:i])
root.Right = buildTree(preorder[i+1:], inorder[i+1:])
return root
}