给你二叉树的根节点 root ,返回它节点值的 前序 遍历。
难度:🌟🌟
示例 1:

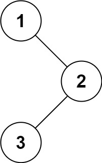
输入:root = [1,null,2,3]
输出:[1,2,3]
示例 2:
输入:root = []
输出:[]
示例 3:
输入:root = [1]
输出:[1]
示例 4:

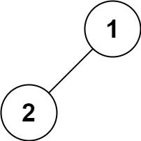
输入:root = [1,2]
输出:[1,2]
示例 5:

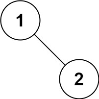
输入:root = [1,null,2]
输出:[1,2]
提示:
前序遍历模版代码。
区别在于,需要显式申明返回值,或者在函数外定义返回值变量存储节点数组。
/**
* Definition for a binary tree node.
* type TreeNode struct {
* Val int
* Left *TreeNode
* Right *TreeNode
* }
*/
// 递归方式遍历
func preorderTraversal(root *TreeNode) (res []int) {
if root == nil {
return nil
}
var preorder func(r *TreeNode)
preorder = func(r *TreeNode) {
if r == nil {
return
}
res = append(res, r.Val)
preorder(r.Left)
preorder(r.Right)
}
preorder(root)
return
}
// 迭代方式进行前序遍历
func preorderTraversal(root *TreeNode) []int {
if root == nil {
return nil
}
var res []int
var stack []*TreeNode
for root != nil || len(stack) > 0 {
if root != nil {
stack = append(stack, root)
res = append(res, root.Val)
root = root.Left // 因为是前序遍历,所以指向左子节点
} else {
// 弹出栈顶元素
root = stack[len(stack)-1]
stack = stack[:len(stack)-1]
root = root.Right
}
}
return res
}