给你一个链表的头节点 head ,判断链表中是否有环。
如果链表中有某个节点,可以通过连续跟踪 next 指针再次到达,则链表中存在环。 为了表示给定链表中的环,评测系统内部使用整数 pos 来表示链表尾连接到链表中的位置(索引从 0 开始)。注意:pos 不作为参数进行传递 。仅仅是为了标识链表的实际情况。
如果链表中存在环 ,则返回 true 。 否则,返回 false 。
难度:🌟🌟
示例 1:

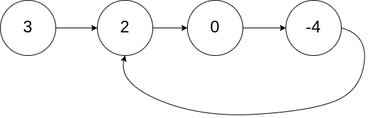
输入:head = [3,2,0,-4], pos = 1
输出:true
解释:链表中有一个环,其尾部连接到第二个节点。
示例 2:

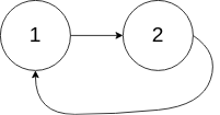
输入:head = [1,2], pos = 0
输出:true
解释:链表中有一个环,其尾部连接到第一个节点。
示例 3:

输入:head = [1], pos = -1
输出:false
解释:链表中没有环。
提示:
使用快慢指针 slow、fast,慢指针每次都一步,快指针每次都两步;
如果快指针追上慢指针(类似操场跑步),则认为有环;
如果快指针节点或下一个节点为空,则认为无环。
/**
* Definition for singly-linked list.
* type ListNode struct {
* Val int
* Next *ListNode
* }
*/
func hasCycle(head *ListNode) bool {
if head == nil || head.Next == nil {
return false
}
slow, fast := head, head.Next
for slow != fast {
if fast == nil || fast.Next == nil {
return false
}
fast = fast.Next.Next
slow = slow.Next
}
return true
}