给定一个不重复的整数数组 nums 。 最大二叉树 可以用下面的算法从 nums 递归地构建:
创建一个根节点,其值为 nums 中的最大值。
递归地在最大值 左边 的 子数组前缀上 构建左子树。
递归地在最大值 右边 的 子数组后缀上 构建右子树。
返回 nums 构建的 最大二叉树 。
难度:🌟🌟🌟
示例 1:

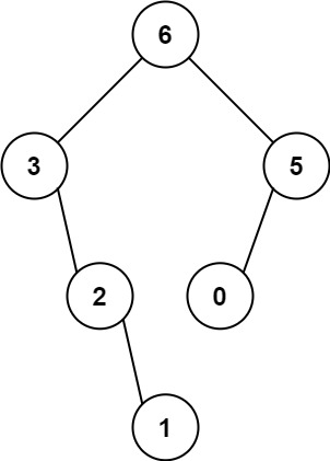
输入:nums = [3,2,1,6,0,5]
输出:[6,3,5,null,2,0,null,null,1]
解释:递归调用如下所示:
示例 2:

输入:nums = [3,2,1]
输出:[3,null,2,null,1]
提示:
和通过 中序序列+(前序/后序序列)构造二叉树题目很类似
func constructMaximumBinaryTree(nums []int) *TreeNode {
if len(nums) == 0 {
return nil
}
val, i := maxNum(nums)
root := &TreeNode{Val: val}
root.Left = constructMaximumBinaryTree(nums[:i])
root.Right = constructMaximumBinaryTree(nums[i+1:])
return root
}
// maxNum 返回数组中最大值和其下标
func maxNum(nums []int) (int, int) {
m := nums[0]
idx := 0
for i, num := range nums {
if num > m {
m = num
idx = i
}
}
return m, idx
}