给你链表的头节点 head ,每 k 个节点一组进行翻转,请你返回修改后的链表。
k 是一个正整数,它的值小于或等于链表的长度。如果节点总数不是 k 的整数倍,那么请将最后剩余的节点保持原有顺序。
你不能只是单纯的改变节点内部的值,而是需要实际进行节点交换。
难度:🌟🌟🌟🌟🌟
示例 1:

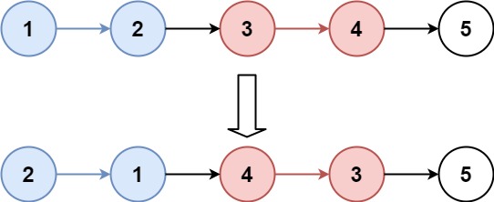
输入:head = [1,2,3,4,5], k = 2
输出:[2,1,4,3,5]
示例 2:

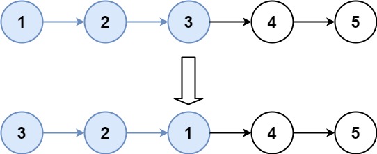
输入:head = [1,2,3,4,5], k = 3
输出:[3,2,1,4,5]
提示:
链表中的节点数目为 n
1 <= k <= n <= 5000
0 <= Node.val <= 1000
这题非常容易迷失在众多指针变量之中,需要经常回顾学习。
思路:
next.Next = prev.Next,即下一个节点指向的是子链表当前头节点。curr 和 prev 节点重新定向。func reverseKGroup(head *ListNode, k int) *ListNode {
dummy := &ListNode{Val: -1}
dummy.Next = head
length := 0 // 记录链表节点数
for head != nil {
length++
head = head.Next
}
// 计算需要反转的子链表个数
prev := dummy
curr := dummy.Next
for i := 0; i < length/k; i++ {
for i := 0; i < k-1; i++ {
next := curr.Next // 下一个节点
second := next.Next // 下两个节点
curr.Next = second
next.Next = prev.Next // 指向链表头节点
prev.Next = next // 更新链表头节点
}
prev = curr // 重新定位新的 prev 和 curr 指针
curr = prev.Next
}
return dummy.Next
}