给你一个整数 n ,求恰由 n 个节点组成且节点值从 1 到 n 互不相同的 二叉搜索树 有多少种?返回满足题意的二叉搜索树的种数。
难度:🌟🌟🌟
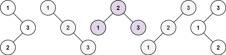
示例 1:

输入:n = 3
输出:5
示例 2:
输入:n = 1
输出:1
提示:
假设给算法输入 n=5,也就是说用 {1,2,3,4,5} 这些数字去构造 BST。
如果固定3作为根节点,左子树节点就是 {1,2} 的组合,右子树就是 {4,5} 的组合。

那么 {1,2} 和 {4,5} 的组合有多少种呢?只要合理定义递归函数,这些可以交给递归函数去做。
这题存在重叠子问题,可以通过备忘录的方式消除冗余计算。
// 备忘录,记录计算结果,防止超时
var memo [][]int
func numTrees(n int) int {
// 备忘录初始化
memo = make([][]int, n+1)
for i := range memo {
memo[i] = make([]int, n+1)
}
return build(1, n)
}
func build(lo, hi int) int {
if lo > hi {
return 1
}
if memo[lo][hi] != 0 { // 备忘录中存在,则直接使用
return memo[lo][hi]
}
var res int
for i := lo; i <= hi; i++ {
leftNum := build(lo, i-1)
rightNum := build(i+1, hi)
res += leftNum * rightNum
}
memo[lo][hi] = res
return res
}