给你一个整数 n ,请你生成并返回所有由 n 个节点组成且节点值从 1 到 n 互不相同的不同 二叉搜索树 。可以按 任意顺序 返回答案。
难度:🌟🌟🌟🌟
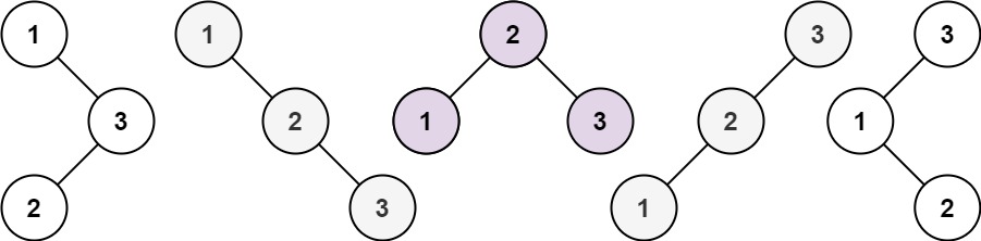
示例 1:

输入:n = 3
输出:[[1,null,2,null,3],[1,null,3,2],[2,1,3],[3,1,null,null,2],[3,2,null,1]]
示例 2:
输入:n = 1
输出:[[1]]
提示:
想要构造出所有合法的 BST,分三步:
root 节点的所有可能;BST;root 节点穷举所有左右子树的组合。/**
* Definition for a binary tree node.
* type TreeNode struct {
* Val int
* Left *TreeNode
* Right *TreeNode
* }
*/
func generateTrees(n int) []*TreeNode {
if n == 0 {
return nil
}
return build(1, n)
}
func build(lo, hi int) (res []*TreeNode) {
if lo > hi {
res = append(res, nil)
return
}
for i := lo; i <= hi; i++ {
leftTree := build(lo, i-1)
rightTree := build(i+1, hi)
// 固定左孩子,遍历右孩子
for _, left := range leftTree {
for _, right := range rightTree {
root := &TreeNode{Val: i}
root.Left = left
root.Right = right
res = append(res, root)
}
}
}
return
}