给定二叉搜索树(BST)的根节点 root 和要插入树中的值 value ,将值插入二叉搜索树。 返回插入后二叉搜索树的根节点。 输入数据 保证 ,新值和原始二叉搜索树中的任意节点值都不同。
注意,可能存在多种有效的插入方式,只要树在插入后仍保持为二叉搜索树即可。 你可以返回 任意有效的结果 。
难度:🌟🌟
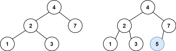
示例 1:

输入:root = [4,2,7,1,3], val = 5
输出:[4,2,7,1,3,5]
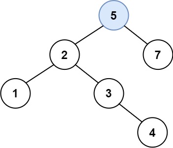
解释:另一个满足题目要求可以通过的树是:
示例 2:
输入:root = [40,20,60,10,30,50,70], val = 25
输出:[40,20,60,10,30,50,70,null,null,25]
示例 3:
输入:root = [4,2,7,1,3,null,null,null,null,null,null], val = 5
输出:[4,2,7,1,3,5]
提示:
二叉树的插入操作相对于删除来说简单很多。
通过递归查找到要插入的位置,把元素插进去,需要注意的是,要把新节点以返回值的方式接到父节点上。
func insertIntoBST(root *TreeNode, val int) *TreeNode {
if root == nil {
return &TreeNode{Val: val}
}
if root.Val > val {
root.Left = insertIntoBST(root.Left, val)
}
if root.Val < val {
root.Right = insertIntoBST(root.Right, val)
}
return root
}