给定二叉搜索树(BST)的根节点 root 和一个整数值 val。
你需要在 BST 中找到节点值等于 val 的节点。 返回以该节点为根的子树。 如果节点不存在,则返回 null 。
难度:🌟🌟
示例 1:

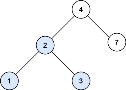
输入:root = [4,2,7,1,3], val = 2
输出:[2,1,3]
示例 2:

输入:root = [4,2,7,1,3], val = 5
输出:[]
提示:
利用 BST 左小右大的特性,可以避免搜索整棵二叉树去寻找元素,从而提升效率。
// 方法1 便于理解
func searchBST(root *TreeNode, val int) *TreeNode {
if root == nil {
return nil
}
if root.Val == val {
return root
} else if root.Val > val {
return searchBST(root.Left, val)
} else if root.Val < val {
return searchBST(root.Right, val)
}
return nil
}
// 优雅版
func searchBST(root *TreeNode, val int) *TreeNode {
if root == nil {
return nil
}
if root.Val > val {
return searchBST(root.Left, val)
}
if root.Val < val {
return searchBST(root.Right, val)
}
return root
}