给你二叉树的根节点 root ,返回其节点值的 层序遍历 。 (即逐层地,从左到右访问所有节点)。
难度:🌟🌟
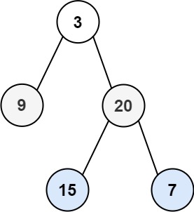
示例 1:

输入:root = [3,9,20,null,null,15,7]
输出:[[3],[9,20],[15,7]]
示例 2:
输入:root = [1]
输出:[[1]]
示例 3:
输入:root = []
输出:[]
提示:
通过 for !queue.isEmpty() 循环控制从上到下一层层遍历, for i := 0; i < len(queue); i++ 控制每一层从左向右遍历。
func levelOrder(root *TreeNode) [][]int {
if root == nil {
return nil
}
var res [][]int // 保存每层节点
queue := newQueue() // 使用队列保存
queue.offer(root)
for !queue.isEmpty() {
var ans []int // 当前层元素值
sz := queue.len()
for sz > 0 {
// 弹出队头元素
top := queue.pop()
ans = append(ans, top.Val)
if top.Left != nil {
queue.offer(top.Left)
}
if top.Right != nil {
queue.offer(top.Right)
}
sz--
}
res = append(res, ans)
}
return res
}
type myQueue struct {
data []*TreeNode
}
func newQueue() *myQueue {
return &myQueue{}
}
func (q *myQueue) offer(elem *TreeNode) {
q.data = append(q.data, elem)
}
func (q *myQueue) pop() *TreeNode {
res := q.data[0]
q.data = q.data[1:]
return res
}
func (q *myQueue) len() int {
return len(q.data)
}
func (q *myQueue) isEmpty() bool {
return q.len() == 0
}