给定一棵二叉树 root,返回所有重复的子树。
对于同一类的重复子树,你只需要返回其中任意一棵的根结点即可。
如果两棵树具有相同的结构和相同的结点值,则它们是重复的。
示例 1:

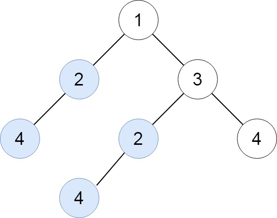
输入:root = [1,2,3,4,null,2,4,null,null,4]
输出:[[2,4],[4]]
示例 2:

输入:root = [2,1,1]
输出:[[1]]
示例 3:

输入:root = [2,2,2,3,null,3,null]
输出:[[2,3],[3]]
提示:
如果你想知道以自己为根的子树是不是重复的,是否应该被加入结果列表中,你需要知道什么信息?
你需要知道一下两点:
我怎么知道以我为根的子树长啥样?可以使用二叉树的前序/中序/后序遍历描述二叉树的结构。
我怎么知道其他子树长啥样?每个节点都把以自己为根的子树的样子存到一个外部变量的数据结构中即可。
/**
* Definition for a binary tree node.
* type TreeNode struct {
* Val int
* Left *TreeNode
* Right *TreeNode
* }
*/
func findDuplicateSubtrees(root *TreeNode) []*TreeNode {
nodeRes = nil
treeMap = make(map[string]int)
return find(root)
}
var treeMap map[string]int
var nodeRes []*TreeNode
func find(root *TreeNode) []*TreeNode {
if root == nil {
return nil
}
var postorder func(node *TreeNode) string
postorder = func(node *TreeNode) string {
if node == nil {
return "#"
}
left := postorder(node.Left)
right := postorder(node.Right)
subTree := fmt.Sprintf("%s,%s,%s", left, right, fmt.Sprintf("%d", node.Val))
if cnt, ok := treeMap[subTree]; ok && cnt == 1 {
nodeRes = append(nodeRes, node)
}
treeMap[subTree]++
return subTree
}
postorder(root)
return nodeRes
}