给定一个 n 叉树的根节点 root ,返回 其节点值的 前序遍历 。
n 叉树 在输入中按层序遍历进行序列化表示,每组子节点由空值 null 分隔(请参见示例)。
难度:🌟🌟
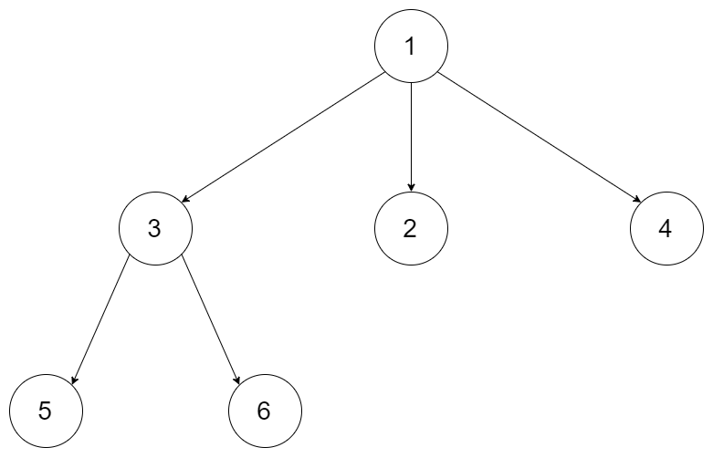
示例 1:

输入:root = [1,null,3,2,4,null,5,6]
输出:[1,3,5,6,2,4]
示例 2:

输入:root = [1,null,2,3,4,5,null,null,6,7,null,8,null,9,10,null,null,11,null,12,null,13,null,null,14]
输出:[1,2,3,6,7,11,14,4,8,12,5,9,13,10]
提示:
使用遍历的思想,将遍历过程中的节点存储在外部变量中,注意“存储节点值”的逻辑操作位置。
/**
* Definition for a Node.
* type Node struct {
* Val int
* Children []*Node
* }
*/
func preorder(root *Node) []int {
var res []int
var traverse func(node *Node)
traverse = func(node *Node) {
if node == nil {
return
}
res = append(res, node.Val)
for _, child := range node.Children {
traverse(child)
}
return
}
traverse(root)
return res
}