给定一个 N 叉树,找到其最大深度。
最大深度是指从根节点到最远叶子节点的最长路径上的节点总数。
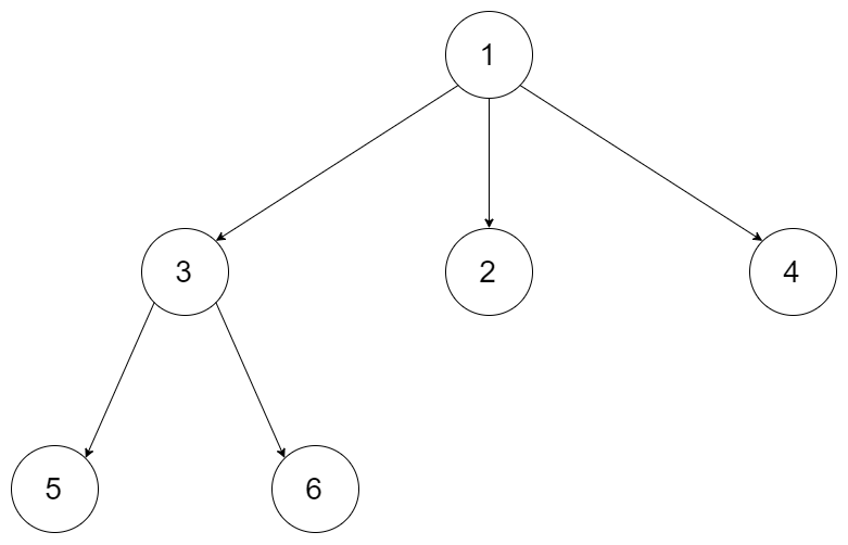
N 叉树输入按层序遍历序列化表示,每组子节点由空值分隔(请参见示例)。
难度:🌟🌟🌟
示例 1:

输入:root = [1,null,3,2,4,null,5,6]
输出:3
示例 2:

输入:root = [1,null,2,3,4,5,null,null,6,7,null,8,null,9,10,null,null,11,null,12,null,13,null,null,14]
输出:5
提示:
思路一:
采取层序遍历思路,每遍历一层就计数一次,直到遍历结束,最后计数的即为最大深度。
思路二:
采用分解问题的思路。
type Node struct {
Val int
Children []*Node
}
// 思路一:层序遍历计数
func maxDepth(root *Node) int {
if root == nil {
return 0
}
queue := NewQueue()
queue.offer(root)
var maxDepthNum int
for !queue.isEmpty() {
sz := queue.size()
maxDepthNum++
for sz > 0 {
root = queue.pop()
for _, child := range root.Children {
queue.offer(child)
}
sz--
}
}
return maxDepthNum
}
func NewQueue() *MyQueue {
return &MyQueue{}
}
type MyQueue struct {
data []*Node
}
func (q *MyQueue) offer(elem *Node) {
q.data = append(q.data, elem)
}
func (q *MyQueue) pop() *Node {
res := q.data[0]
q.data = q.data[1:]
return res
}
func (q *MyQueue) size() int {
return len(q.data)
}
func (q *MyQueue) isEmpty() bool {
return q.size() == 0
}
// 思路二:递归遍历,分解问题
func maxDepth(root *Node) int {
if root == nil {
return 0
}
var maxDepthNum int
for _, child := range root.Children {
childDepth := maxDepth(child)
maxDepthNum = max(childDepth, maxDepthNum)
}
return maxDepthNum + 1
}
func max(x, y int) int {
if x > y {
return x
}
return y
}