给你一个二叉搜索树的根节点 root ,返回 树中任意两不同节点值之间的最小差值 。
差值是一个正数,其数值等于两值之差的绝对值。
难度:🌟🌟
示例 1:

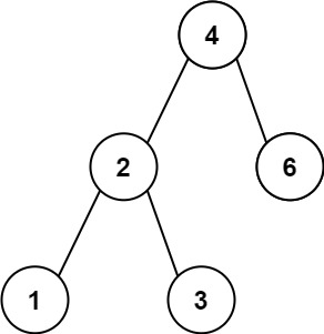
输入:root = [4,2,6,1,3]
输出:1
示例 2:

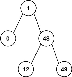
输入:root = [1,0,48,null,null,12,49]
输出:1
提示:
中序遍历会有序遍历 BST 的节点,遍历过程中计算最小差值即可。
func getMinimumDifference(root *TreeNode) int {
if root == nil {
return 0
}
minVal := math.MaxInt
var preNode *TreeNode
var inorder func(node *TreeNode)
inorder = func(node *TreeNode) {
if node == nil {
return
}
inorder(node.Left)
if preNode != nil {
minVal = min(node.Val-preNode.Val, minVal)
}
preNode = node
inorder(node.Right)
return
}
inorder(root)
return minVal
}
func min(x, y int) int {
if x < y {
return x
}
return y
}