给定一个二叉搜索树的根节点 root 和一个值 key,删除二叉搜索树中的 key 对应的节点,并保证二叉搜索树的性质不变。返回二叉搜索树(有可能被更新)的根节点的引用。
一般来说,删除节点可分为两个步骤:
难度:🌟🌟🌟🌟
示例 1:

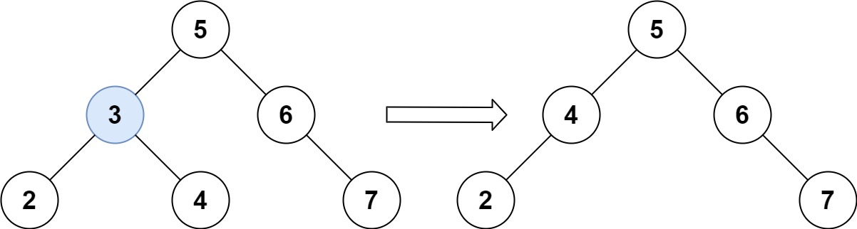
输入:root = [5,3,6,2,4,null,7], key = 3
输出:[5,4,6,2,null,null,7]
解释:给定需要删除的节点值是 3,所以我们首先找到 3 这个节点,然后删除它。
一个正确的答案是 [5,4,6,2,null,null,7], 如下图所示。
另一个正确答案是 [5,2,6,null,4,null,7]。
示例 2:
输入: root = [5,3,6,2,4,null,7], key = 0
输出: [5,3,6,2,4,null,7]
解释: 二叉树不包含值为 0 的节点
示例 3:
输入: root = [], key = 0
输出: []
提示:
二叉搜索树的删除分为三种情况:
func deleteNode(root *TreeNode, key int) *TreeNode {
if root == nil {
return nil
}
if root.Val == key {
// 情况1/2
if root.Left == nil {
return root.Right
}
if root.Right == nil {
return root.Left
}
// 情况3
// 获取右子树最小节点
minNode := getMinNode(root.Right)
root.Right = deleteNode(root.Right, minNode.Val) // 删除右子树最小节点
minNode.Left = root.Left
minNode.Right = root.Right
root = minNode
} else if root.Val > key {
root.Left = deleteNode(root.Left, key)
} else if root.Val < key {
root.Right = deleteNode(root.Right, key)
}
return root
}
// 寻找右子树中最小节点
func getMinNode(right *TreeNode) *TreeNode {
for right.Left != nil {
right = right.Left
}
return right
}