给定一个二叉搜索树的根节点 root ,和一个整数 k ,请你设计一个算法查找其中第 k 个最小元素(从 1 开始计数)。
难度:🌟🌟
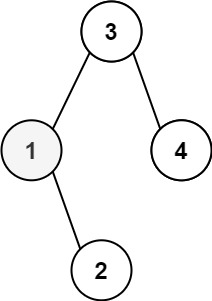
示例 1:

输入:root = [3,1,4,null,2], k = 1
输出:1
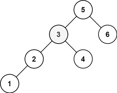
示例 2:

输入:root = [5,3,6,2,4,null,null,1], k = 3
输出:3
提示:
中序遍历二叉搜索树,使用数组保存其元素顺序,然后返回第K个位置的元素。
// 中序遍历
func kthSmallest(root *TreeNode, k int) int {
var res []int
var inorder func(node *TreeNode)
inorder = func(node *TreeNode) {
if node == nil {
return
}
inorder(node.Left)
res = append(res, node.Val)
inorder(node.Right)
return
}
inorder(root)
return res[k-1]
}