给你一棵 完全二叉树 的根节点 root ,求出该树的节点个数。
完全二叉树 的定义如下:在完全二叉树中,除了最底层节点可能没填满外,其余每层节点数都达到最大值,并且最下面一层的节点都集中在该层最左边的若干位置。若最底层为第 h 层,则该层包含 1~ 2h 个节点。
难度:🌟🌟
示例 1:

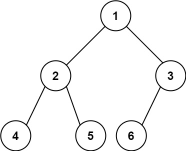
输入:root = [1,2,3,4,5,6]
输出:6
示例 2:
输入:root = []
输出:0
示例 3:
输入:root = [1]
输出:1
提示:
这题应该使用后序遍历,在后序遍历时对节点进行计数,节点数量存储在外部变量中。
/**
* Definition for a binary tree node.
* type TreeNode struct {
* Val int
* Left *TreeNode
* Right *TreeNode
* }
*/
// countNodes 222. 完全二叉树的节点个数
func countNodes(root *TreeNode) (cnt int) {
var count func(node *TreeNode)
count = func(node *TreeNode) {
if node == nil {
return
}
count(node.Left)
count(node.Right)
cnt++
return
}
count(root)
return
}