给你单链表的头节点 head ,请你反转链表,并返回反转后的链表。
难度:🌟🌟
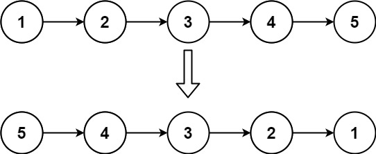
示例 1:

输入:head = [1,2,3,4,5]
输出:[5,4,3,2,1]
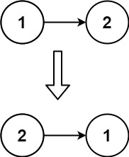
示例 2:

输入:head = [1,2]
输出:[2,1]
示例 3:
输入:head = []
输出:[]
提示:
假设给定反转链表序号如下: 1->2->3->4->5->null
第一步应该在节点1前加上虚拟头节点 dummyHead
接下来是交换1和2的位置,值得注意的是,2应该指向 dummyHead.Next,dummyHead.Next 也应该指向2。
以次类推,直到遍历完链表。
/**
* Definition for singly-linked list.
* type ListNode struct {
* Val int
* Next *ListNode
* }
*/
// 迭代方式
func reverseList(head *ListNode) *ListNode {
if head == nil {
return nil
}
dummyHead := &ListNode{Val: -1}
dummyHead.Next = head
p := dummyHead.Next
for p.Next != nil {
next := p.Next
second := next.Next
next.Next = dummyHead.Next
dummyHead.Next = next
p.Next = second
}
return dummyHead.Next
}
// 递归方式
func reverseList(head *ListNode) *ListNode {
if head == nil || head.Next == nil {
return head
}
newHead := reverseList(head.Next)
head.Next.Next = head
head.Next = nil
return newHead
}
/**
* 以链表1->2->3->4->5举例
* @param head
* @return
*/
public ListNode reverseList(ListNode head) {
if (head == null || head.next == null) {
/*
直到当前节点的下一个节点为空时返回当前节点
由于5没有下一个节点了,所以此处返回节点5
*/
return head;
}
//递归传入下一个节点,目的是为了到达最后一个节点
ListNode newHead = reverseList(head.next);
/*
第一轮出栈,head为5,head.next为空,返回5
第二轮出栈,head为4,head.next为5,执行head.next.next=head也就是5.next=4,
把当前节点的子节点的子节点指向当前节点
此时链表为1->2->3->4<->5,由于4与5互相指向,所以此处要断开4.next=null
此时链表为1->2->3->4<-5
返回节点5
第三轮出栈,head为3,head.next为4,执行head.next.next=head也就是4.next=3,
此时链表为1->2->3<->4<-5,由于3与4互相指向,所以此处要断开3.next=null
此时链表为1->2->3<-4<-5
返回节点5
第四轮出栈,head为2,head.next为3,执行head.next.next=head也就是3.next=2,
此时链表为1->2<->3<-4<-5,由于2与3互相指向,所以此处要断开2.next=null
此时链表为1->2<-3<-4<-5
返回节点5
第五轮出栈,head为1,head.next为2,执行head.next.next=head也就是2.next=1,
此时链表为1<->2<-3<-4<-5,由于1与2互相指向,所以此处要断开1.next=null
此时链表为1<-2<-3<-4<-5
返回节点5
出栈完成,最终头节点5->4->3->2->1
*/
head.next.next = head;
head.next = null;
return newHead;
}