给你链表的头结点 head ,请将其按 升序 排列并返回 排序后的链表 。
难度:🌟🌟🌟
示例 1:

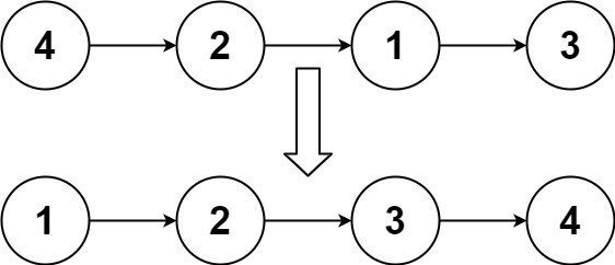
输入:head = [4,2,1,3]
输出:[1,2,3,4]
示例 2:

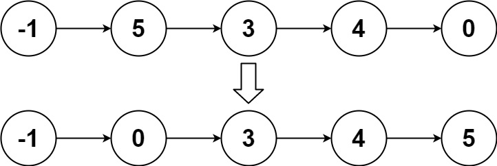
输入:head = [-1,5,3,4,0]
输出:[-1,0,3,4,5]
示例 3:
输入:head = []
输出:[]
提示:
参考:Sort List——经典(链表中的归并排序) https://www.cnblogs.com/qiaozhoulin/p/4585401.html
利用归并的思想,递归地将当前链表分为两段,然后 merge,分两段的方法是使用 fast-slow 法,用两个指针,一个每次走两步,一个走一步,直到快的走到了末尾,然后慢的所在位置就是中间位置,这样就分成了两段。
/**
* Definition for singly-linked list.
* type ListNode struct {
* Val int
* Next *ListNode
* }
*/
func sortList(head *ListNode) *ListNode {
return mergeSort(head)
}
func mergeSort(head *ListNode) *ListNode {
if head == nil || head.Next == nil {
return head
}
slow, fast := head, head
var half *ListNode
for fast != nil && fast.Next != nil {
half = slow
slow = slow.Next
fast = fast.Next.Next
}
half.Next = nil
left := mergeSort(head)
right := mergeSort(slow)
return merge(left, right)
}
func merge(left, right *ListNode) *ListNode {
dummyHead := &ListNode{Val: -1}
p := dummyHead
for left != nil && right != nil {
if left.Val < right.Val {
p.Next = left
left = left.Next
} else {
p.Next = right
right = right.Next
}
p = p.Next
}
if left != nil {
p.Next = left
}
if right != nil {
p.Next = right
}
return dummyHead.Next
}