给你一棵二叉树的根节点 root ,返回其节点值的 后序遍历 。
难度:🌟🌟
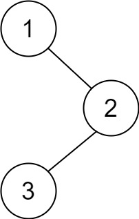
示例 1:

输入:root = [1,null,2,3]
输出:[3,2,1]
示例 2:
输入:root = []
输出:[]
示例 3:
输入:root = [1]
输出:[1]
提示:
定义一个后序遍历递归方法,遍历节点时使用外部变量保存节点。
/**
* Definition for a binary tree node.
* type TreeNode struct {
* Val int
* Left *TreeNode
* Right *TreeNode
* }
*/
// postorderTraversal 145. 二叉树的后序遍历
func postorderTraversal(root *TreeNode) (res []int) {
if root == nil {
return nil
}
var postorder func(node *TreeNode)
postorder = func(node *TreeNode) {
if node == nil {
return
}
postorder(node.Left)
postorder(node.Right)
res = append(res, node.Val)
return
}
postorder(root)
return
}