路径 被定义为一条从树中任意节点出发,沿父节点-子节点连接,达到任意节点的序列。同一个节点在一条路径序列中 至多出现一次 。该路径 至少包含一个 节点,且不一定经过根节点。
路径和 是路径中各节点值的总和。
给你一个二叉树的根节点 root ,返回其 最大路径和 。
难度:🌟🌟🌟🌟
示例 1:

输入:root = [1,2,3]
输出:6
解释:最优路径是 2 -> 1 -> 3 ,路径和为 2 + 1 + 3 = 6
示例 2:

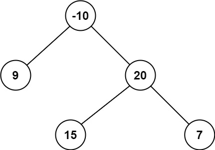
输入:root = [-10,9,20,null,null,15,7]
输出:42
解释:最优路径是 15 -> 20 -> 7 ,路径和为 15 + 20 + 7 = 42
提示:
考虑实现一个简化的函数A(node),该函数计算二叉树中的一个节点的最大贡献值,具体而言,就是在该节点为根节点的子树中寻找以该节点为起点的一条路径,使得该路径上的节点值之和最大。
func maxPathSum(root *TreeNode) int {
if root == nil {
return 0
}
var pathSum int
var postOrder func(node *TreeNode) int
postOrder = func(node *TreeNode) int {
if node == nil {
return 0
}
left := max(postOrder(node.Left), 0)
right := max(postOrder(node.Right), 0)
pathSum = max(node.Val+left+right, pathSum)
return max(left, right) + node.Val
}
pathSum = math.MinInt
postOrder(root)
return pathSum
}
func max(x, y int) int {
if x > y {
return x
}
return y
}